滚动轴承广泛应用于各种各样的机器和装置中,其载荷分布、接触应力及变形直接影响轴承的使用寿命及性能。接触应力和变形的计算是轴承性能分析的基础,本文对在弹塑性变形阶段工作负荷对接触力和变形的影响进行了探讨,为轴承疲劳寿命预测及进一步动态性能分析提供参考依据。
1、接触应力与变形
滚动轴承承受的负荷是通过滚动体从一个套圈传递到另一个套圈上,力的作用方向沿接触点的法线,是滚动体受的主要负荷。深沟球轴承的滚动体和滚道为点接触,当接触处最大接触应力没有超出比例极限时,根据赫兹关于弹性固体的接触理论,此时接触面为椭圆,表面压力呈半椭球分布。
轴承在负荷的作用下内外圈会产生相对位移,轴承内外圈在负荷方向上生产单位的相对弹性位移量所需的外加负荷即轴承的刚度为:

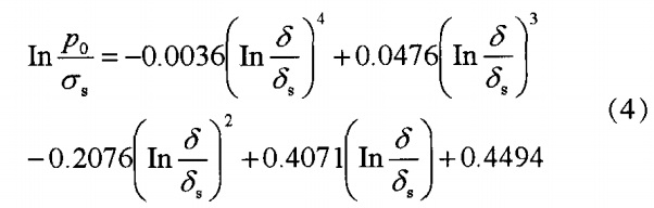
在使用中,当最大应力超出比例极限时,接触处产生弹性变形的同时还产生非线性的塑形变形,此时对接触应力分布进行分区的同时,遵循接触应力连续性条件拟合得到的接触应力和变形关系式为:
根据以上关系可以得出工作负荷、套圈沟曲率半径系数、径向游隙对深沟球轴承接触力及变形的影响。
2、接触分析结果
以深沟球轴承6206为例进行分析,轴承具体参数为:外径62mm,内径30mm,宽度16mm,球数9,球径9.525mm。
图1为轴承承受径向载荷Fr在0~5000N范围变化的情况下,接触面中心最大压应力P0、弹性趋近量、轴承径向刚度Rr的变化趋势。当Fr小于500N时,P0、弹性趋近量、Rr的变化率大于Fr大于500N时的变化率。Fr小于100N时,内外套圈的P0基本相等。Fr大于100N时内套圈的应力大于外套圈的应力,如图1(a)所示。内套圈和滚动体的弹性趋近量小于外圈和滚动体的弹性趋近量,如图1(b)所示。径向刚度增大明显趋缓,如图1(c)所示。
滚道曲率半径系数f是球轴承设计的一个重要参数,其数值一般在0.515~0.530之间,滚道曲率半径系数外圈值通常取得比内圈值稍大一些。
游隙的可变动范围根据标准中五组径向游隙值确定。轴承所受负荷Fr为定值2000N时,内外套圈所受最大滚动体负荷随游隙的变化关系如图。最大滚动体负荷增大会引起其他变量最大变化,这是因为随着径向游隙的增加,承载钢球数减少。
3、结论
深沟球轴承在径向载荷Fr、滚道沟曲率半径系数f、游隙u变化时,最大滚动体负荷Q、接触面中心最大压应力P0、弹性趋近量、轴承径向刚度Rr会同向变化。
----摘自《轻工标准与质量》2016年第6期,本网站在于信息的传递,若涉及隐私与版权,请联系。